Ika 8 wyśw. 27-04-2026 13:42

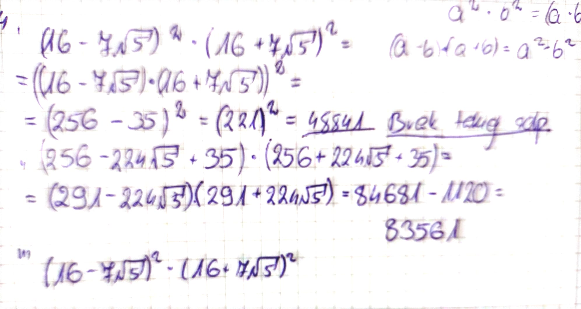
arkusz 1 zadanie 4 podstawa niby proste ale coś mi nie gra w obliczeniach





podstawa Dodaj post do ulubionych Poproś o pomoc